近日,中国科学院沈阳自动化研究所机器人学研究室机器智能研究组关于具身智能导航、低秩张量恢复理论的系列研究成果被人工智能领域国际学术会议ICLR 2026正式录用。
论文题目:All-day Multi-scenes Lifelong Vision-and-Language Navigation with Tucker Adaptation,第一作者为博士生王旭东和实习生李干,通讯作者为韩志研究员。团队针对视觉语言导航智能体在跨场景、跨环境部署时的“灾难性遗忘”及多层级知识捕捉难题,研究团队提出基于 Tucker分解的高阶张量适配框架 TuKA。该框架将导航知识建模为高阶张量,并解耦为共享子空间与特定专家矩阵,配合“解耦知识增量学习策略”,使智能体在学习新技能时能有效巩固旧知识。基于此开发的机器人Allday Walker在 24 种复杂工况测试中性能表现卓越,实现了全天候持续进化 。

全天候多场景终身学习视觉语言导航框架
论文题目:Lifelong Embodied Navigation Learnin。第一作者为博士生王旭东和董家华博士,通讯作者为刘柏辰助理研究员和韩志研究员。科研团队针对具身导航智能体在连续学习多场景与多样化指令风格的新任务时,容易遗忘旧任务知识的问题,提出了终身具身导航框架Uni-Walker。该方法通过创新的解码器扩展LoRA架构,将导航知识显式解耦为任务共享与任务特定组件,利用知识继承策略与专家共激活策略促进共享知识的高效迁移与精炼,并结合专家子空间正交约束与导航专用思维链机制精准捕获特定指令风格的推理模式。

仿人类终身学习框架
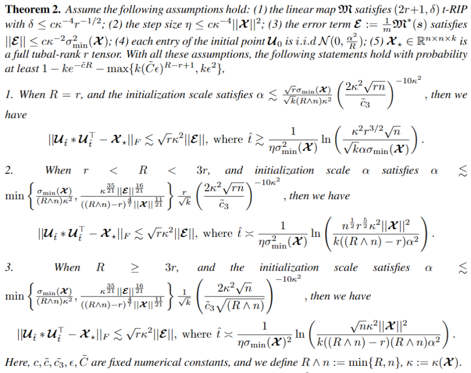
论文题目:The power of small initialization in noisy low-tubal-rank tensor recovery。第一作者为博士生刘志裕,通讯作者为王尧教授。科研团队针对低管秩张量恢复在噪声干扰下难以兼顾计算效率与恢复精度的挑战,深入分析了小初始化梯度下降算法的理论边界。该研究首次证明了在存在加性噪声的情况下,采用小初始化策略的梯度下降算法能以线性速率收敛至接近信息论最优误差,并揭示了算法的隐式正则化特性。通过严格的数学证明,确定了保证最优恢复所需的样本量阈值与初始化规模,为处理高维复杂数据的张量恢复与去噪任务提供了坚实的理论支撑。

低管秩张量恢复理论
ICLR是全球人工智能领域的顶级旗舰会议,与NeurIPS、ICML并称为机器学习领域的“三大顶会”。沈阳自动化所重视人工智能与机器人技术的深度融合,本次多篇论文获ICLR录用,表明研究所在具身机器学习研究的技术创新持续取得新的进展与成效。
附件下载: